13.7米毫米波望远镜
2025-2026观测季节状态报告
( Status Report on the 13.7 mMM-Wave Telescope for
the 2025-2026 ObservingSeason )


中国科学院紫金山天文台青海观测站
德令哈毫米波观测基地
2025年9月
- 望远镜系统概况及夏季维护与更新改造情况
在2025年夏季(7~8月)维护更新季节,对望远镜机械传动系统、天线面板、超导成像频谱仪系统等进行了检修和维护。至7月28日完成了夏季的各项维护(检修、更新)计划项目。
7月28日到8月14日,对望远镜进行了为期18天的“综合性能天文测试”,包括望远镜指向测试、副反射面调焦、接收机9个波束方向图测试、9个波束间隔矩阵和效率矩阵测试、天体谱线标准源的强度与视向速度测试、月面效率测试等。
以下简要报告维护、更新、测试等方面的主要工作和结果:
(1)今年未进行面板调整,沿用2024年照相测量法调整天线面板的结果[1]。
(2)望远镜机械系统做全面检修[2]。对主反射面的方位和俯仰电机进行检修,更换俯仰EL1和方位AZ1电机碳刷,更换方位AZ1和AZ2电磁制动器;测量电机绕组内阻、启动电压、启动电流,侦听电机转动声音,检查电缆破损情况等;对主反射面的方位和俯仰大齿轮、高速箱、传动箱等清理油污、检查磨损、加润滑油;对副反射面机械系统进行检修,清理Z1、Z2、Z3、Y轴电机的碳刷碳粉,测量电机绕组内阻、启动电压、启动电流,侦听电机转动声音、电缆破损情况等;对副反射面联轴结、减速箱、涡轮蜗杆检查,加润滑油。更换PDU控制室内天线CCU控制单元主板电源,并对主面AZ2电机的伺服系统接线端的电缆重新做绝缘处理。
(3)接收机系统夏季维护工作[3]。更换压缩机吸附器、散热风扇轴承,使用维护保养后的003C冷头。更换杜瓦后端300K底部IF输出板和有故障的真空DB25接头,用检漏仪检查杜瓦密闭性正常。更换Beam8上边带HEMT-50K有裂隙的8B刚性电缆,将4364电桥更换为4105电桥;更换Beam2、5、8对应的HBT放大器。通过给杜瓦50K内集成模块外围增加金属屏蔽网、用铜箔胶带+铝箔胶带覆盖屏蔽杜瓦外DB25真空接头的方式,使得Beam1、Beam3、Beam7、Beam9链路抗干扰性能提高了10dB以上。Beam8和Beam9整体对调电桥和低温低噪声放大器,对Beam8的TTI低温低噪声放大器加装铜箔,进一步增强该链路的屏蔽性能。
- 望远镜性能的简要说明
- 天线及表面精度
望远镜口径为13.7米(45英尺) ,使用地平式机架。望远镜的光学系统是经典“卡塞格林”系统,接收机工作在卡焦上。2024年经过面板调整后的主反射面的表面精度rms为71μm[1] 。
- 望远镜跟踪测试
今年检修完成后,调整了ACU单元中的控制参数,测试结果表明天线方位(AZ)跟踪误差的rms为1.5″,俯仰(EL)跟踪误差的rms为1.2″,对绝大部分天区,跟踪误差在1~3"左右[4],完全符合观测要求(根据望远镜的波束大小,观测时望远镜的跟踪误差允许范围限制在5"以内,以保证足够的跟踪精度)。图2.2.1为天线在AZ和EL两个方向的跟踪误差测试结果:


图2.2.1 方位和俯仰的跟踪误差统计分布图。方位94.44%在3角秒内,
俯仰98.63%在3角秒内。数据取自参考资料[4]。
- 望远镜指向校准
采用“连续谱总功率接收工作模式”对行星(木星、金星等)进行连续谱“五点指向观测”,同时对行星状星云、SiO(2-1)脉泽源进行点源的谱线“五点指向观测”。从2006-2007观测季节开始,使用10个参数的指向模型,以赤纬32度为界将南北天区分开拟合,使得新指向模型在全天区域的适用性更好。2025年,将4天时间观测得到的南天730组、北天460组数据用新指向修正模型进行拟合。图2.3.1是一个指向测试实例中指向源的空间覆盖。图2.3.2是指向修正模型计算出的南天区和北天区的残差分布。结果显示,该轮测试得到的望远镜南天指向偏差(rms)为4.4″[5],北天的指向偏差(rms)为5.2″[6]。在综合测试过程中,“指向观测模型拟合修改验证”的过程要进行多轮。重复测试的结果显示望远镜最终全天指向精度小于5″。


图2.3.1 五点观测时南天SATURN、ORIA、R-Leo、H-Her[5]和
北天NGC7027、X-Cyg、R-Cas、TX-Cam[6]有效数据点在天空中的分布。


图2.3.2 模型拟合后得到的方位残差和俯仰残差的图示。左边是南天的拟合结果,
椭圆的长半轴为3.6″,短半轴为2.6″,方向角为0.9°,数据取自参考资料[5]。
右边是北天的拟合结果,椭圆的长半轴为4.1″,短半轴为3.2″,方向角为41.6°,
数据取自参考资料[6]。
在望远镜运行阶段,指向状况还可以通过观测CO谱线点源(如IRC+10216等晚期恒星)或者具有明显局部空间分布特征的部分CO面源(如S140等)来不定期地加以验证。
作为常规测试项目,在观测季节内,每个月还要进行指向测试与验证。
- 望远镜的温标和效率参数(半功率波束宽度、方向图、月面效率、口面效率、波束效率、间隔矩阵、效率矩阵)
在分子谱线观测中,本望远镜采用标准的斩波轮校准方法(Ulich & Haas 1976, ApJS, 30, 247及随后文献),得到的温标是改正了大气吸收及欧姆损耗后的“天线温度”,也就是文献中的TA*。对于星际分子云展源,通常这个温标要进一步改正望远镜的主波束效率mb,得到与同类望远镜可比的“观测辐射温度”即TR*。这个温标代表望远镜的理想主波束与源空间亮温度分布的卷积。12CO、13CO、C18O三条谱线的原始数据中已经按照
的关系进行了波束效率修正,ηmb用表2.4.2中的参数计算;其他频率未做修正,用户可根据图2.4.8自行修正。
半功率波束宽度(HPBW)反映了望远镜的分辨本领。对于口径为D、工作波长为的天线而言,HPBW=k/D,系数k与天线口面的照明函数有关。通过谱线五点观测的数据拟合得到在112.6 GHz本振频率下,望远镜上边带(115.2 GHz)半功率波束宽度HPBW为AZ方向48.5±1.9角秒,EL方向49.5±1.7角秒;下边带(110.2 GHz)半功率波束宽度HPBW为AZ方向50.3±1.9角秒,EL方向52.2±1.8角秒[7]。
二维波束分布可以通过对天体的扫描加以测量。对木星OTF扫描获得的二维扫描结果如图2.4.1和2.4.2[8];对木星一维扫描结果如图2.4.3和2.4.4[8]。

图2.4.1 望远镜二维方向图分布【上边带115.2GHz】。对木星进行的OTF观测,ReGrid步长20″。

图2.4.2 望远镜二维方向图分布【下边带110.2GHz】。对木星进行的OTF观测,ReGrid步长20″。

图2.4.3 望远镜不同俯仰一维方向图【波束5上边带(115.2GHz)结果】。对木星进行AZ方向一维扫描观测,步长10″,每个位置积分5秒钟。采用绝对强度校准,数据用天线温度表示。

图2.4.4 望远镜不同俯仰一维方向图【波束8下边带(110.2GHz)结果】。对木星进行EL方向一维扫描观测,步长10″,每个位置积分5秒钟。采用绝对强度校准,数据用天线温度表示。
月面效率MOON, 是用来衡量望远镜对于“宽面源”的波束效率。在望远镜指向工作完成之后,将本振频率设置为112.6 GHz对月面进行一维扫描,在考虑月相的修正以后,得到9个波束上下边带的月面效率[9],见表2.4.1。
表2.4.1 9个波束上下边带测得的月面效率(%)
|
边带 |
波束1 |
波束2 |
波束3 |
波束4 |
波束5 |
波束6 |
波束7 |
波束8 |
波束9 |
|
USB |
60.3±1.7 |
60.3±1.7 |
59.8±1.7 |
60.2±1.7 |
60.3±1.7 |
60.0±1.7 |
60.1±1.7 |
60.6±1.7 |
59.5±1.7 |
|
LSB |
65.6±1.9 |
65.1±1.8 |
64.4±1.8 |
66.5±1.8 |
65.3±1.8 |
64.6±1.8 |
64.5±1.8 |
64.7±1.8 |
64.2±1.8 |
月面效率比采用行星测量得到的主波束效率要高,因为前者包含了主波束以外的部分“前向(forward)”旁瓣成份。在实际观测中,目标天体(分子云)的尺度通常大于望远镜的波束宽度,则望远镜的波束效率相对的接近月面效率。但是这种接近往往并不是观测者需要的,因为旁瓣接收了来自观测方向以外的辐射。因此,对面源观测的射电望远镜,往往需要更低的旁瓣。望远镜旁瓣越低,用行星测量得到的“主波束效率”就越接近“月面效率”。


图2.4.5 对月面一维扫描得到的强度分布。测量时接收机的本振频率设置为112.6 GHz,
扫描范围±1500″,步长20″。数据取自参考资料[9]。月相范围-319.10°~-319.15°,
月面亮温度194.2K~211.2K。左图是上边带(115.2 GHz),右图是下边带(110.2 GHz)。
对于主要从事星际分子云等面源观测的望远镜而言,主波束效率是一个重要的效率指标。测量望远镜主波束效率最恰当的方式是寻找一个与望远镜波束尺寸一致的天体来进行。但是,实际中并没有这样的天体(或人造)目标存在。因此,测量望远镜主波束效率是通过对行星的测量来进行。在进行五点指向观测的同时,通过前置黑体温标将观测结果校准为温度,同时可以得到望远镜的波束宽度,经过计算便得到望远镜的口面效率和主波束效率[7]。


图2.4.6 望远镜中心波束(第5波束)的主波束效率与俯仰的图示[7]。
左边是上边带(115.2GHz),右边是下边带(110.2GHz)。


图2.4.7 望远镜中心波束(第5波束)的口面效率与俯仰的图示[7]。
左边是上边带(115.2GHz),右边是下边带(110.2GHz)。
用von Hoerner-Wong的结构函数效率公式【见公式(1)】对效率测试数据进行拟合,符合实际的天线效率,物理意义清楚[10]:
(1)
拟合结果如表2.4.2[7]:
表2.4.2 上下边带主波束效率拟合参数值
|
|
A(%) |
hh(mm) |
hz(mm) |
el0(°) |
R-square |
RMSE |
|
上边带 |
52.62 |
0.1848 |
0.1842 |
53.39 |
0.38 |
2.43 |
|
下边带 |
57.13 |
0.1882 |
0.1343 |
51.68 |
0.41 |
2.63 |
用2024年的模型值对观测谱线标准源进行验证,从结果上看标准源峰值强度与往年拟合度较好,故今年延用2024年的主波束效率随俯仰的模型参数。
对JUPITER用波束5做五点跟踪观测,本振频率设置在86 GHz、88 GHz、96 GHz、98 GHz、104 GHz、110 GHz轮流观测,计算这些频率对应的上下边带的效率,结果如下表2.4.3[7]:
表2.4.3 不同频率主波束效率、口面效率、波束宽度统计表
|
频率(GHz) |
主波束效率(%) |
口面效率(%) |
HPBW_AZ(″) |
HPBW_EL(″) |
|
83.7 |
59.9±2.6 |
49.8±0.5 |
62.7±2.3 |
62.5±1.2 |
|
86.1 |
56.6±1.0 |
49.1±0.6 |
59.0±0.5 |
60.3±1.2 |
|
89.0 |
59.8±2.7 |
48.4±0.5 |
59.7±2.5 |
59.8±0.9 |
|
91.4 |
58.1±0.8 |
49.3±0.5 |
56.0±0.1 |
57.6±0.9 |
|
93.5 |
63.9±3.3 |
50.9±0.4 |
57.2±0.3 |
57.4±3.0 |
|
95.5 |
63.0±2.3 |
49.4±0.3 |
56.9±0.9 |
56.1±1.4 |
|
98.8 |
63.6±3.5 |
49.1±0.4 |
55.3±0.6 |
54.8±3.1 |
|
100.8 |
63.5±2.2 |
49.2±0.3 |
54.3±0.7 |
53.4±1.3 |
|
101.7 |
62.4±2.9 |
49.3±0.5 |
53.8±1.5 |
51.9±1.6 |
|
104.5 |
60.5±2.6 |
45.1±0.5 |
52.9±1.9 |
53.1±1.4 |
|
107.0 |
58.1±1.6 |
43.5±0.4 |
52.2±1.2 |
51.1±1.1 |
|
108.2 |
59.5±1.5 |
44.5±0.1 |
50.6±1.0 |
51.6±1.0 |
|
109.7 |
57.9±2.4 |
43.4±0.4 |
50.5±1.8 |
50.1±1.4 |
|
110.0 |
51.8±5.5 |
39.7±1.8 |
48.6±2.0 |
50.6±3.3 |
|
113.5 |
54.6±1.1 |
38.2±0.3 |
49.9±1.0 |
50.9±0.8 |
|
115.3 |
46.1±8.6 |
35.9±3.1 |
45.7±3.2 |
48.1±5.9 |


图2.4.8 左图为主波束效率与频率的对应关系,右图为口面效率与频率的对应关系[7]


图2.4.9 波束宽度与观测波长的图示[7]
波束宽度与观测波长可以用下式表示[7]:
(2)
(3)
目前安装到13.7米毫米波射电望远镜的接收机是一台3×3 像元的超导成像频谱仪,需要精确的测量9个波束相对于中心波束的的间隔(间隔矩阵)和相对于中心波束的效率(效率矩阵)。在测试阶段用高信噪比连续谱源在AZ-EL方向进行二维方向图扫描,拟合出各个波束中心的AZ、EL坐标,计算其它波束相对于中心波束AZ、EL方向的间隔矩阵,间隔矩阵测试结果见表2.4.4[8]:
表2.4.4 波束间隔矩阵
|
|
波束1 |
波束2 |
波束3 |
波束4 |
波束5 |
波束6 |
波束7 |
波束8 |
波束9 |
|
△AZ(") | 175.3 | 2.8 | -171.6 | 171.0 | 0.0 | -173.5 | 169.9 | -3.4 | -177.1 |
△EL(") |
-169.6 |
-175.2 |
-176.9 |
5.0 |
0.0 |
-0.3 |
178.1 |
175.3 |
173.2 |
在进行效率矩阵测试时,采用对标准源S140、DR21、NGC2264进行9个波束“轮流”观测的方式,通过计算其它波束与中心波束(第5波束)的12CO、13CO峰值强度、积分强度的比值,得到望远镜其它波束相对于中心波束归一化的效率矩阵,结果见表2.4.5[11]:
表2.4.5 波束效率矩阵
|
边带 |
波束1 |
波束2 |
波束3 |
波束4 |
波束5 |
波束6 |
波束7 |
波束8 |
波束9 |
|
USB(115.2GHz) |
0.94 |
0.98 |
0.93 |
0.96 |
1.00 |
0.90 |
0.90 |
1.02 |
0.91 |
|
LSB(110.2GHz) |
0.98 |
0.98 |
0.88 |
1.01 |
1.00 |
0.99 |
0.96 |
0.98 |
0.98 |
望远镜作为一个整体,对天体谱线标准源进行观测的数据精度通常用来反映天文观测能够达到的实际测量精度。在运行过程中,用该精度作为衡量整个望远镜仪器性能、工作状态、观测方法、以及数据处理等全过程的依据。
由于天线面板的重力形变与光学耦合变化,观测得到的天线温度随俯仰有一定的依赖关系。在“综合性能的天文测试”阶段,对谱线面源S140、NGC 2264进行了中心点全天观测,观测结果用上面测出的效率修正公式和效率矩阵进行修正,得到谱线峰值强度与俯仰的关系,如图2.4.10和2.4.11。

图2.4.10 9个波束观测得到的S140的12CO峰值强度随俯仰的图示。
数据已经过效率矩阵、主波束效率校准,数据取自报告[11]

图2.4.11 9个波束观测得到的NGC2264的13CO峰值强度随俯仰的图示。
数据已经过效率矩阵、主波束效率校准,数据取自报告[11]
从图2.4.10和图2.4.11可以看到,目前得到的北天谱线标准源S140的12CO(1-0)和南天谱线标准源NGC 2264的13CO(1-0)的峰值强度经过效率改正后,强度和俯仰的依赖关系不大。用OTF观测可以使整个扫描区域内各个点强度随俯仰的变化被削弱。
- 接收机的参数(频率工作范围、噪声温度、稳定性)
超导成像频谱仪是一台毫米波段3×3 像元的多波束接收机,该设备主要包括:9个边带分离型超导SIS混频器、无调谐数字本振源、全数字偏置电源、独立中频、宽带高分辨数字频谱仪等多项新技术,成功实现了大规模毫米波系统集成。该设备是国际上毫米波段的第一例基于边带分离技术原理的多波束接收机,也是我国射电天文领域研制的第一台多波束接收机。按照标准的波段设置要求,该波段的接收机工作频率范围在85-115GHz。本观测季节当本振频率86-112.6GHz时,接收机的噪声温度Trx的实测值见图2.5.1 [12],而包含了地球大气噪声、天线罩等辐射贡献在内的“系统温度”Tsys的测量值分布见图2.5.2[13]。这些系统温度的数据有助于观测者估计项目所需要的观测积分时间和灵敏度。

图2.5.1 接收机噪声温度Trx在不同频点的分布(MG3692C频综)。横坐标是波束号,纵坐标是等效成双边带接收机的噪声温度Trx (K),不同颜色符号表示不同的本振频率[12]。


图2.5.2 系统温度的分布。左图本振频率112.6GHz,横坐标是波束号,纵坐标是边带分离型接收机直接测量的系统温度(等同于单边带工作模式)Tsys (K),红色方框为上边带(115.2GHz)测试结果,黑色方框为下边带(110.2GHz)测试结果。右图本振频率86.3GHz,红色方框为上边带(88.9HzG)测试结果,黑色方框为下边带(83.7GHz)测试结果。它包含了接收机、天线与光学系统、天线罩、以及地球大气的贡献[13]。
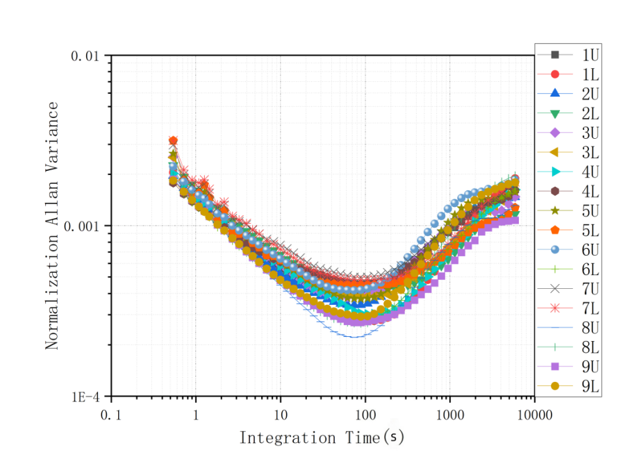
本观测季节,望远镜可以从事85-115 GHz整个波段内的观测。多次重复测量结果表明,当SIS工作在第一台阶时,10分钟内系统相对稳定性G/G<210-3 。图2.5.3显示了接收机在工作波段内相对稳定性的典型测量结果[14]。

图2.5.3 接收机相对稳定性(计算机以4.5Hz采样率采集中频检波输出3小时数据做allan方差分析[14])
- 后端频谱仪-高分辨数字频谱仪FFTS技术参数(带宽、通道数、分辨率、稳定性)
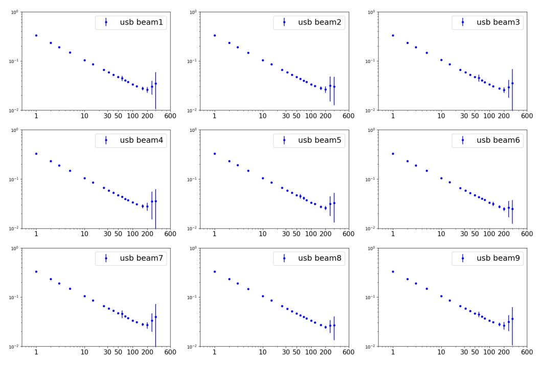
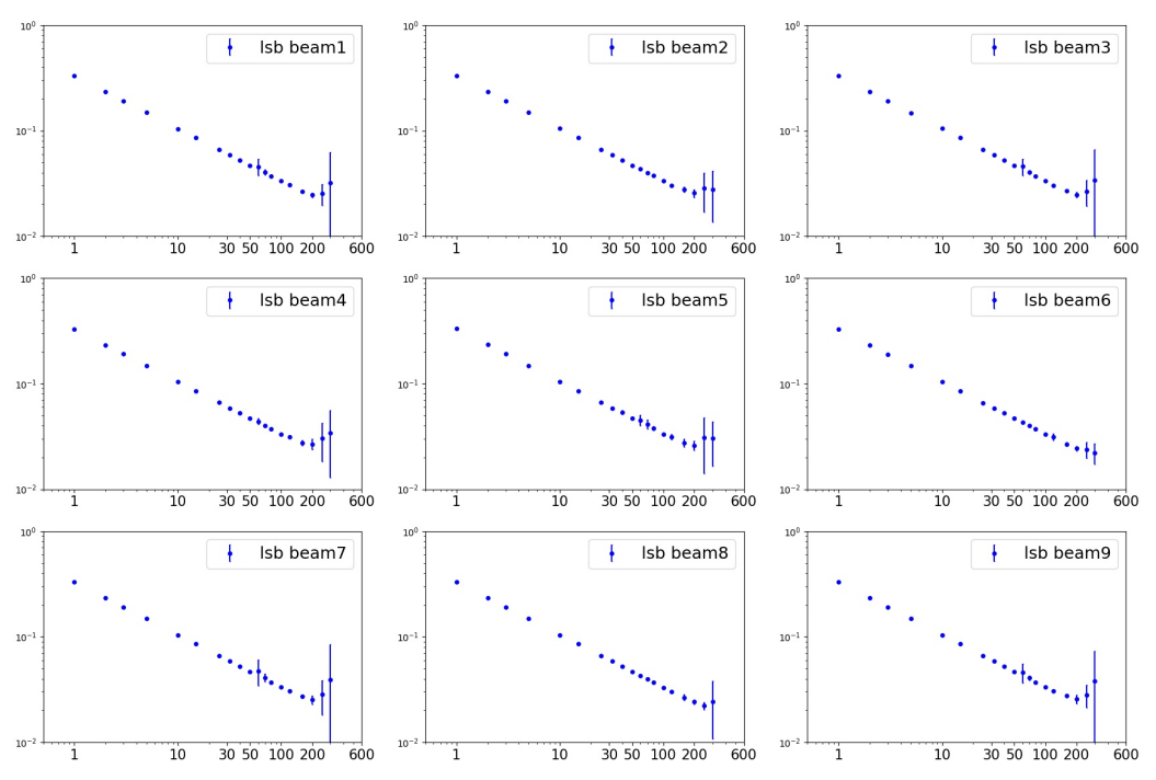
超导成像频谱仪系统后端由18路高分辨数字频谱仪FFTS组成,带宽为1000 MHz、500MHz或200 MHz可调,每路带宽的通道数均为16384个,通过软件控制快速完成带宽切换。1000MHz带宽时通道数可以为16384、8192和4096。数字频谱仪在带宽、频谱分辨本领、动态范围、稳定性等关键技术指标上都有新的突破。这种频谱仪对河外星系的谱线接收、高分辨率谱线观测以及深度积分的谱线观测等极限观测项目显示出新的使用潜力。经过测试,在不同的频谱仪带宽下,包含实际大气变化在内的系统整体Allan方差拐点约为上边带200秒、下边带200秒[15]。FFTS可以同时观测2个边带各1GHz带宽内多条谱线,上边带接收频率为(fLO+2.14~fLO+3.14)GHz,下边带接收频率为(fLO-2.14~fLO-3.14)GHz,观测者可以使用“谱线观测频率计算软件(frequencyset.tcl)”查看哪些谱线可同时观测(在网页http://www.radioast.nsdc.cn/tools.php下载)。


图2.6.1,对天空的allan方差测试结果(本振频率112.6GHz,左边是上边带,右边是下边带[15])
表2.6.1 望远镜频谱后端FFTS的基本参数
|
工作带宽 |
12CO |
13CO |
|
通道频率间隔
(kHz) |
通道速度间隔
(km/s) |
通道频率间隔
(kHz) |
通道速度间隔
(km/s) |
|
1000 MHz |
61.0 |
0.159 |
61.0 |
0.167 |
|
500MHz |
30.5 |
0.079 |
30.5 |
0.083 |
|
200 MHz |
12.2 |
0.032 |
12.2 |
0.033 |
2023年新增一路带宽为4.8GHz的数字频谱仪,工作带宽4.8GHz(0~1GHz频段边带抑制比不佳,观测设置时谱线不要落在此频段内),有65536个通道,通道频率间隔73.2kHz。
- 数据存储系统
为适应OTF观测海量数据存储,配置了数据存储系统,该系统有两台DELL PowerEdge R910,2017年扩容后存储容量为300TB ,操作系统为Scientific Linux 5.4,该系统同时实现OTF数据预处理,OTF观测原始数据可保存2年。
- 观测模式
位置开关模式进行谱线单点观测。
“超导成像频谱仪”+OTF谱线成图观测。
谱线观测采用标准的斩波轮方法进行温度定标。
可以进行3 mm波段大气不透明度的测量。
连续谱单点、成图和OTF观测。
对点源进行两个波束调制单点观测。
彗星开关模式进行谱线单点观测。
- 资料格式
控制系统输出数据为国际通用的标准FITS格式和CLASS格式文件。用户可以使用GILDAS/CLASS等一些通用的射电谱线数据处理软件来进行处理。
GILDAS/CLASS是由法国Grenoble天文台与IRAM合作开发的射电天文数据处理软件,网址http://iram.fr/IRAMFR/GILDAS/。
- 数据下载
观测数据可以从http://www.radioast.cn数据库下载,未开放数据需要用户登录后才能下载,用户名为观测者课题编号,密码由课题安排人员设定后告知课题申请者。用户可以从如下网页查看观测记录来了解课题观测情况:http://www.radioast.cn/viewrecord.php。
- 开放观测课题的申请和日程安排
20252026观测季节13.7米毫米波望远镜最新状态信息将及时公布在基地网页上:http://www.dlh.pmo.cas.cn。德令哈毫米波观测基地热情邀请国内外专家使用该望远镜从事天文和相关科学的观测研究。望远镜常年接受观测课题申请。所有观测申请均由dlhproposal@pmo.ac.cn加以受理。观测申请的格式文本可以从基地网页http://www.dlh.pmo.cas.cn/xzzq/dqhd/下载。申请的观测课题或者时间要求在出现竞争的情况下将完全经由“毫米波评议会”的专家根据申请项目的科学意义和项目可行性进行打分评议确定优先级,基地将根据观测课题的要求,及时安排观测时间并提前通知观测课题的PI 或者联系人。
- 近几个观测季节内望远镜从事的观测课题举例
- 银河画卷计划;
- 银河系分子云物理结构的探测;
- 年轻星的高速气体外流和动力学;
- 星际化学;
- 银河系恒星形成区内分子气体的分布;
- 银河系动力学;
- 超新星遗迹与星际介质相互作用、宇宙射线源;
- 恒星演化和晚型恒星的分子气体观测;
- 太阳系天体的分子谱线观测;
- 月球的毫米波辐射性质的观测研究;
- 地球大气的毫米波电波传播和辐射物理性质的观测研究;
- 星暴星系的观测研究;
- 彗星分子谱线观测。
- 使用望远镜进行观测
- 数据处理、数据备份
数据存储系统可同时实现OTF数据预处理,预处理后的文件上传到“毫米波射电天文数据库http://www.radioast.cn”,观测者在首页登录后点击“下载CLASS格式数据”进入下载页面进行数据下载;(注:用户名、密码由基地人员告知课题申请者)。位置调制观测模式生成单点FITS文件(登录后在首页检索下载)和CLASS格式文件(14m文件),OTF观测产生的数据经过regrid后生成间隔30″×30″的CLASS格式文件(bur文件),同一个目标源多遍观测的bur文件合并到一起生成fitscube文件。基地指派的天文观测助手将协助观测者熟悉数据处理的操作。
根据国际惯例,课题观测的所有数据将由课题申请者独占使用,一年后成为开放共享数据。跨年度的长期项目自观测结束日起满一整年后成为开放共享数据。共享后的数据任何人都可以从“毫米波射电天文数据库”检索下载。
- 交通与生活服务
基地将为所有观测人员做好迎送接待、食宿、交通、网络通讯、应急供氧等支撑工作。经过2017年夏季对办公及招待所的装修,基地的工作和住宿环境得到了明显改善。前来基地从事观测课题研究的人员食宿交通等费用自理。由于地处西部,交通不便, 我们推荐前来基地观测的研究人员事先计划安排好车(机)票,目前有德令哈到西宁的航班。
基地负责德令哈市当地的接送工作。到达基地前,请与基地办公室巨秉刚先生联系接站时间和具体要求,电话(0977)8224969。
德令哈观测基地地处青藏高原,干燥缺氧,冬季气候寒冷。基地提醒前来工作的天文学家携带足够的御寒衣物,做好充分的适应准备。
- 意见建议、或进一步的联系咨询
需要了解基地望远镜更多内容、提出意见(包括对本报告的质疑)或建议时,请与基地负责人娄铮(正高级工程师)联系:zhenglou@pmo.ac.cn。对本报告有关内容的质询或批评也请发给上述地址。观测项目实施以后,欢迎研究人员对观测中的天文和技术问题以及各种观测服务工作出现的问题等提出意见和建议。
- 致谢
本报告由《13.7米毫米波望远镜2002-2003观测季节状态报告》[16]及历年状态报告[17]修改而来,报告涉及的更新改造项目和综合性能的天文测试内容是德令哈毫米波观测基地全体工作人员及其与紫金山天文台毫米波-亚毫米波技术实验室、天文望远镜技术实验室、恒星形成团组等单位的技术人员和天文学研究人员共同努力完成的,在此表示真挚的感谢。
本报告由王敏、孙继先、巨秉刚、逯登荣、张旭国整理修订。
封面图片:北银盘315平方度局部天区毫米波段CO/13CO/C18O分子辐射合成图像(上图)以及光学图像(下图)。图像分别源自“银河画卷”毫米波巡天和Pan-STARRS光学巡天。
(图片来源:https://mp.weixin.qq.com/s/8NvvVRLl-ltLlf4TSVlP2g)
参考资料和测试报告
- 娄铮、孙继先、逯登荣、靳生玉、张永兴、颜萍、许文婷、王心栋、张海龙、马鸿宇、东文政、李海勇、黄正启,2024.7.11,《2024年夏季维护天线面板照相测量总结》,德令哈毫米波观测基地;
- 张海龙、马鸿宇、东文政、孙继先、李存林、李积斌,2025.7.17,《2025年夏季天线机械维护小结》,德令哈毫米波观测基地;
- 运行组、观测组、后勤组,2025.7.31,《2025年夏季维护小结V1.0》,德令哈毫米波观测基地;
- 张海龙、孙继先、马鸿宇、李积斌、李存林,2025.7.30,《2025夏季维护天线跟踪误差测试报告》,德令哈毫米波观测基地;
- 靳生玉、张永兴、逯登荣、孙继先、王心栋、许文婷,2025.8.5,《五点指向观测快报(南天)》,德令哈毫米波观测基地;
- 靳生玉、张永兴、逯登荣、孙继先、王心栋、许文婷,2025.8.4,《五点指向观测快报(北天)》,德令哈毫米波观测基地;
- 靳生玉、逯登荣、孙继先、张永兴、颜萍、王敏、许文婷、王心栋,2025.8.19,《波束效率测试报告(2025-8-19)》,德令哈毫米波观测基地。
- 靳生玉、逯登荣、王心栋、孙继先、张永兴、许文婷,2025.8.13,《方向图扫描快报(2025-08-13)》,德令哈毫米波观测基地;
- 许文婷、张永兴、王心栋、孙继先、逯登荣、靳生玉,2025.8.12,《月面效率测试报告(2025-08-12)》,德令哈毫米波观测基地;
- 杨戟,2008.8.16,《关于进一步提高13.7米望远镜天线面精度的技术路线图v1.1》,德令哈毫米波观测基地;
- 张永兴、王敏、孙继先、逯登荣、靳生玉、许文婷、王心栋、颜萍,2025.8.19,《标准源观测报告(波束效率矩阵、视向速度等)(20250819)》,德令哈毫米波观测基地;
- 祁永秀、张旭国、李积斌、董守豪、张海龙、东文政、马鸿宇,2025.7.21,《2025年夏季维护阶段性报告(二)V1.0》,德令哈毫米波观测基地;
- 马鸿宇、祁永秀、张旭国、李积斌、董守豪、东文政、张海龙、金凤娟、王心栋,2025.7.17,《2025年夏季维护阶段性报告一V1.2》,德令哈毫米波观测基地;
- 东文政、张旭国、李积斌、张海龙、董守豪、祁永秀、马鸿宇,2025.7.24,《2025年夏季维护阶段性报告(三)V1.1》,德令哈毫米波观测基地。
- 许文婷、王心栋、孙继先、逯登荣、张永兴、靳生玉,2025.8.12,《Allan方差测试报告》,德令哈毫米波观测基地。
- 杨戟,2003.2.23,《13.7米毫米波望远镜2002-2003观测季节状态报告》,德令哈毫米波观测基地;
- http://www.radioast.cn/zhuangtaibaogao.php, 13.7M望远镜状态报告。